欄目:技術文獻
發布時間:2024-03-15一、前言
各類一次性制品因使用便捷的特點大量進入人們的日常生活,作為和食品直接接觸的容器,其安全性也對我們的健康造成直接影響,為確保其安全性世界范圍內各國都建立了各自指定的食品接觸材料的檢測法規,如美國FDA 21 CFR、歐盟EU NO 10/2011、德國LFGB、法國DGCCRF、日本JFSL 370、意大利 D.M.21/03/73、英國SI 898等,我國GB 4806系列、GB 9685系列、GB-31604.8等。
紙杯是一次性容器的主要包裝形式之一。一次性紙杯的一般性原料為食品級木漿紙和食品級PE薄膜,外層雖然是紙,但接觸食品的卻是內層塑料膜。在使用過程中,一次性紙杯通常會接觸到高溫、酸性、堿性液體,若紙杯所含的可遷移物質較多,這會在使用過程中通過食物向人體遷移,對人體健康產生影響。本文以市面上正常售賣的“家慧紙杯”作為試驗樣品,根據GB31604.8-2021《食品安全國家標準食品接觸材料及制品 總遷移量的測定》對總遷移量的測試規定,檢測待測樣品的總遷移量。
二、材料與設備
一次性紙杯;乙酸(分析純),西隴科學;無水乙醇(分析純),安徽安特;蒸餾水(一級),廣州宏輝;鼓風干燥箱,DHG-9030A,廣州標際;總遷移量及不揮發物測定儀,AUTO ZF900,廣州標際。

圖1 AUTO ZF900總遷移量及不揮發物測定儀
2.1 實驗原理
根據樣品實際使用場景接觸的食品特性選擇相應的預處理實驗條件及食品模擬物進行遷移量檢測試驗。蒸發杯按設定溫度加熱,冷卻,稱重,重復步驟直到到達恒重值。把模擬物加入到蒸發杯里,水浴加熱蒸發,腔體加熱至105℃烘干,冷卻。蒸發皿冷卻后,用天平(感量為0.01mg)判斷恒重,滿足項目恒重需求實驗終止。
2.2 參考標準
EU NO 10/2011、GB/T31604.1-2015、GB/T5009.156-2016、GB/T31064.8-2021、GB/T4806.8-2022、GB/T27590-2022、GB/T4806.1-2022、GB/T4806.6-2022、GB/T4806.7-2016
三、試驗過程
3.1 實驗條件
食品模擬物選用4%乙酸(v/v)和20%乙醇(v/v);實驗條件為70℃,2h;樣品為一次性紙杯采用灌裝法,紙杯灌裝體積為150mL食品模擬物 ,S按實際的接觸面積進行計算,樣品數量為1個空白和2平行樣。
3.2 實驗過程
量筒量取V=150mL的食品模擬物,灌裝到一次性杯子里,用兩層保鮮膜密封瓶口,橡皮筋扎緊,放置到預熱好70°C的烘箱,浸泡2個小時。計算一次性杯子食品模擬物接觸面S。同批次做一個4%乙酸空白溶液和一個20%乙醇溶液。把預處理后的樣品溶液定量量取100mL,記為V1。分別把溶液加入到AUTO ZF900總遷移量及不揮發物測定儀里面測試。自動化執行空杯恒重、水浴蒸發、殘渣恒重、溶劑回收流程,灌裝密封后的樣品和空白見圖2。

(a)20%乙醇食品模擬物 (b)4%乙酸食品模擬物
圖2 試驗樣品及空白
四、結果分析
4.1測試數據
一次性紙杯在4%乙酸和20%乙醇食品模擬物中測得的檢測數據如表1所示。
表1 一次性紙杯檢測結果
杯號 | 樣品名稱 | 樣品來源 | 樣品批號 | 空杯初重(g) | 試樣尾重(g) | 殘渣重(mg) |
1 | 4%乙酸 | 家惠 | 20231002 | 40.62945 | 40.62987 | 0.42 |
2 | 一次性杯子-4%乙酸 | 家惠 | 20231002 | 44.05435 | 44.05523 | 0.88 |
3 | 一次性杯子-4%乙酸 | 家惠 | 20231002 | 44.01863 | 44.01937 | 0.74 |
4 | 20%乙醇 | 家惠 | 20231002 | 44.20889 | 44.20907 | 0.18 |
5 | 一次性杯子-20%乙醇 | 家惠 | 20231002 | 42.83346 | 42.83376 | 0.30 |
6 | 一次性杯子-20%乙醇 | 家惠 | 20231002 | 45.10511 | 45.10544 | 0.33 |
4.2結果計算與分析
一次性紙杯與浸泡液接觸面積計算:
S=S底圓+S側面=πr2+2πrh -----------------------(1)
式(1)中:
S—面積,單位為平方分米(dm2);
r—杯子底圓半徑,單位為分米(dm);
h—食品模擬物灌裝后的液面高度,單位為分米(dm);
π—圓周率,3.14。
經計算接觸面積S為1.055 dm2
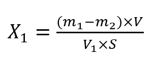
總遷移量根據GB 31604.8-2021中公式進行計算:
----------------------------(2)
式(2)中:
X1—非密封制品類食品接觸材料及制品的總遷移量,單位為毫克每平方分米(mg/dm2);
m1—試樣測定用浸泡液殘渣的質量,單位為毫克(mg);
m2—空白浸泡液的殘渣質量,單位為毫克(mg);
V—遷移試驗所得試樣浸泡液總體積,單位為毫升(mL);
V1—測定用浸泡液體積,單位為毫升(mL);
S—試樣與浸泡液接觸的面積,單位為平方分米(dm2)
一次性紙杯以4%乙酸和20%乙醇為模擬物的總遷移量檢測結果分別為0.6 mg/dm2和0.2mg/dm2,均小于標準GB4806.7-2016和標GB4807.8-2022中規定總遷移量項目的限值指標10mg/dm2,由結果可知,淋膜紙在酸性模擬物中的總遷移量較高。在4%乙酸為食品模擬物的實驗中,兩次平行樣結果分別為0.7mg/dm2和0.5mg/dm2,在20%乙醇為食品模擬物的實驗中,兩次平行樣結果均為0.2mg/dm2,兩次獨立測定結果與其算術平均值的差值均小于1.0mg/dm2,本次實驗用的一次性紙杯測試結果的精密度滿足GB31604.8-2021的要求,結果判定為合格。



